indecoder
.RU
/
Бренды
Ингредиенты
Функции
Разбор состава
Штрих-код
☾
Главная
·
Ингредиенты
·
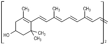
Zeaxanthin
Нейтрально
antioxidant
Zeaxanthin
Встречается в продуктах
(5 всего)
Skin Peel Shop Jessner’s Peel
Skin Peel Shop
→
Nivie Tanning Drops
Nivie
→
Skin Peel Shop Trichloroacetic Acid (TCA) Peel
Skin Peel Shop
→
almost 1.618 0.05% Retinal + Cream Serum
almost 1.618
→
almost 1.618 0,05% Retinal + Rosehip Oil Cream Serum
almost 1.618
→
Loading…
Loading the web debug toolbar…
Attempt #
Cancel