Нейтрально
binding emulsifying emulsion stabilising gel forming skin conditioning surfactant viscosity controlling
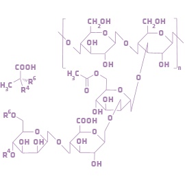
Xanthan Gum
xanthan gum
Описание
It's one of the most commonly used thickeners and emulsion stabilizers. If the product is too runny, a little xanthan gum will make it more gel-like. Used alone, it can make the formula sticky and it is a good team player so it is usually combined with other thickeners and so-called rheology modifiers (helper ingredients that adjust the flow and thus the feel of the formula). The typical use level of Xantha Gum is below 1%, it is usually in the 0.1-0.5% range.
Btw, Xanthan gum is all natural, a chain of sugar molecules (polysaccharide) produced from individual sugar molecules (glucose and sucrose) via fermentation. It’s approved by Ecocert and also used in the food industry (E415).
Встречается в продуктах (47 458 всего)
BioAqua Avocado Moisturizing Essence
BioAqua
→
Krave Beauty Great Barrier Relief
Krave
→
Neogold Peptide 6X
Neogold
→
Lixir Electrogel Cleanser
Lixir
→
Pem Delian Meet The Expert - Multi-peptid+hyaluron Anti-aging Serum
Pem Delian
→
POM POM Botox Filler Anti-Wrinkle Peptide Serum
POM POM
→
The Ordinary Lactic Acid 5% + Ha
The Ordinary
→
3AM India Vitamin C Serum For Uneven Skin Tone And Dark Circles
3AM India
→
Advanced Clinicals Vitamin C Face Serum
Advanced Clinicals
→
Bassa Hydrin Hyaluronic Ce Ferulic
Bassa
→
Be Minimalist Vitamin C 10%
Be Minimalist
→
Tiege Hanley Super Serum
Tiege Hanley
→