Нейтрально
skin conditioning
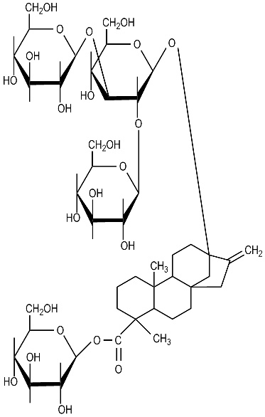
Rebaudioside A
Встречается в продуктах (50 всего)
Dermal Therapy Lip Balm Sensitive
Dermal Therapy
→
Burt's Bees Lavender And Honey Lip Butter
Burt's Bees
→
Burt's Bees Lavender & Honey Lip Butter
Burt's Bees
→
Burt's Bees Orange Blossom & Pistachio Lip Butter
Burt's Bees
→
Burt's Bees Rosemary & Lemon Lip Butter
Burt's Bees
→
Wicked Sensual Care Simply Pear Personal Lubricant
Wicked Sensual Care
→
Conscious Chemist Lush Lips Lip Balm
Conscious Chemist
→
Eyüp Sabri Tuncer Doğal Bambu Karbonlu Diş Macunu
Eyüp Sabri Tuncer
→
Hi Smile Pap+ Whiting Strips
Hi Smile
→
Blume Superbalm Tripeptide-1 Hydrating Lip Balm
Blume
→
YEAUTY Facial Sheet Mask Avocado | Cucumber | Niacinamide
YEAUTY
→
Burt's Bees Strawberry Moisturizing Lip Balm
Burt's Bees
→