Нейтрально
cleansing hair conditioning surfactant
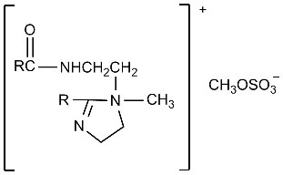
Quaternium-96
quaternium-96 is the quaternary ammonium
Встречается в продуктах (10 всего)
Leonor Greyl Soin Repigmentant - Icy Brown
Leonor Greyl
→
R+Co Acid Wash ACV Cleansing Rinse
R+Co
→
B3 Brazilian Bondbuilder Color Care Shampoo
B3 Brazilian Bondbuilder
→
mydentity MyHairLube Finishing Hair Lubricant
mydentity
→
dphue Apple Cider Vinegar Hair Rinse
dphue
→
dphue Apple Cider Vinegar Scalp Scrub With Pink Himalayan Sea Salt
dphue
→
CHI Colorcare Color Lock Shampoo
CHI
→
BIOSILK Color Therapy Conditioner
BIOSILK
→
BIOSILK Color Therapy Shampoo
BIOSILK
→
Mystic Devine Color Care Luminous Shine Masque
Mystic Devine
→