indecoder.RU
Нейтрально uv absorber uv filter

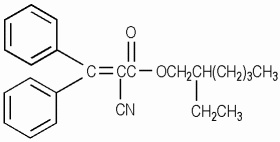
Octocrylene

octocrylene is the substituted acrylate that conforms to the formula

Описание

An oil-soluble chemical sunscreen agent that protects skin in the UVB and somewhat in the UVA II range with a peak absorption of 304 nm. Its protection is not strong enough on its own but it is quite photostable (loses 10% of SPF protection in 95 mins) and is often used to stabilize other photo-unstable UV-filters, for example, Avobenzone. It is also often used to improve the water resistance of the products. 

Octocrylene's safety profile is generally quite good, though a review study in Contact Dermatitis reports an "increasing number of patients with photo contact allergy to octocrylene." Mainly adults with ketoprofen-sensitivity and children with sensitive skin are affected, so if you have a small kid, it is probably better to use octocrylene-free sunscreens.

Ограничения

VI/10

Встречается в продуктах (5 777 всего)

Loading…
Loading the web debug toolbar…
Attempt #