Нейтрально
skin conditioning
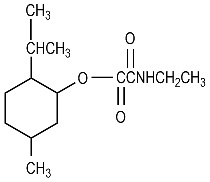
Menthyl Ethylamido Oxalate
menthyl ethylamido oxalate is the organic compound
Встречается в продуктах (79 всего)
Save Me From Sun + Sweat
Save Me From
→
Elemis Pro-Collagen Insta-Smooth Primer
Elemis
→
Kopari Coconut Detox Mask
Kopari
→
Save Me From Chemical Conflict
Save Me From
→
Save Me From Thermal Obsession
Save Me From
→
Complice Glow Am Serum
Complice
→
SiO Beauty Cryo Body Cream
SiO Beauty
→
Derm Institute Youth Alchemy Eye Cream
Derm Institute
→
The Mane Choice Multi-Vitamin Scalp Nourishing Growth Oil
The Mane Choice
→
HydroPeptide Cleansing Gel
HydroPeptide
→
HydroPeptide Pre Treatment Toner
HydroPeptide
→
HydroPeptide Pre-Treatment Toner
HydroPeptide
→