indecoder
.RU
/
Бренды
Ингредиенты
Функции
Разбор состава
Штрих-код
☾
Главная
·
Ингредиенты
·
Ebanol
Нейтрально
fragrance
Ebanol
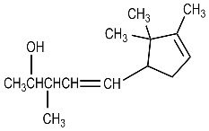
ebanol is the organic compound that conforms to the formula:
Встречается в продуктах
(2 всего)
JVN Nurture Hydrating Conditioner
JVN
→
JVN Nurture Hydrating Shampoo
JVN
→
Loading…
Loading the web debug toolbar…
Attempt #
Cancel