Хорошо изучен
skin conditioning
Disodium Acetyl Glucosamine Phosphate
NovHyal
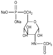
disodium acetyl glucosamine phosphate is the organic compound that conforms to the formula:(structure)
Описание
It's a"bioengineered" from of skin building block N-acetylglucosamine-6-phosphate (NAG6P) that is used by the skin to synthesize important skin-identical humectants like GAGs and hyaluronan.
According to the manufacturer's in-vitro and ex-vivo (made in the lab not on real people) tests, NovHyal can boost GAGs production both in the upper and middle layer of the skin by 84% in 10 days. It can also increase hyaluronic acid synthesis by 282% in just 2 days. Sounds good, though some in-vivo tests (made on real people) would be nice.
Встречается в продуктах (143 всего)
IOMA Ma Crème
IOMA
→
RMS Refresh Eye Brightener Broad Spectrum SPF 30
RMS Beauty
→
Facegym Hydro-bound Hydrating Hyaluronic Acid + Niacimanide Serum
Facegym
→
Beverly Hills MD Wrinkle Repair Night Treatment
Beverly Hills MD
→
City Beauty Intensive Night Serum
City Beauty
→
Teoxane RHA Serum
Teoxane
→
Dr. Diamond's Metacine Instafacial Plasma
Dr. Diamond's Metacine
→
Arbonne Intelligence® Lip Treatment
Arbonne
→
SVR Cicavit+ Foaming Gel
SVR
→
Lavié Skin Immortality Face Cream
Lavié
→
Spectacle Performance Cream
Spectacle
→
Emmié by Happy Skin Bio-Active Dermo Repair Serum
Emmié by Happy Skin
→