Нейтрально
skin conditioning
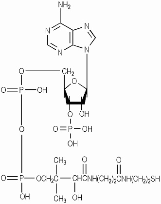
Coenzyme A
Встречается в продуктах (111 всего)
Filorga Laboratories Filorga Fondotinta Flash Nude Fluid
Filorga Laboratories
→
Filorga Laboratories Scrub & Mask
Filorga Laboratories
→
Filorga Nutri-filler
Filorga
→
Filorga Laboratories Nutri-Filler Nutri-Replenishing Cream
Filorga Laboratories
→
Filorga Laboratories Time-filler Intensive 5xp
Filorga Laboratories
→
Filorga Laboratories Filorga Nutri-filler Plumping Lip Balm
Filorga Laboratories
→
HydroPeptide Clarifying Toner Balance & Control Pads
HydroPeptide
→
HydroPeptide Miracle Face Mask
HydroPeptide
→
Filorga Global-repair Eyes & Lips
Filorga
→
mesoxy Rejuvenating + Ha 1% / Yoğun Antiaging
mesoxy
→
La Mer The Lifting And Firming Mask
La Mer
→
Filorga Sleep & Lift
Filorga
→