Нейтрально
antimicrobial deodorant oral care
Chlorhexidine Diundecylenate
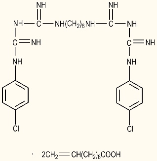
chlorhexidine diundecylenate is a salt of chlorhexidine (q.v.) and undecylenic acid (q.v.). it conforms generally to the formula:(structure)
Встречается в продуктах (13 всего)
Revolution Skincare Overnight Targeted Blemish Lotion
Revolution Skincare
→
Bare Anatomy Scalp Scrub
Bare Anatomy
→
Clicks Hygiene Soap Fragrance Free
Clicks
→
Dazller Eterna Classic Care Hydrating Cream
Dazller Eterna
→
DCP Trio Acné Ski
DCP
→
DERMACLINIC Protector Solar 85 SPF/FPS Sport
DERMACLINIC
→
Dr's Formula Anti-oil & Anti-dandruff Shampoo
Dr's Formula
→
Kareshine Scalp Cleanser & Hair Cleanser
Kareshine
→
Leeford Clinsol Soap
Leeford
→
NIPPON White Ginger Bar Soap
NIPPON
→
Revolution Skincare Anti-Bacterial Base Fix Setting Spray
Revolution Skincare
→
SureSkin Moisturising Body And Face Cream
SureSkin
→