Нейтрально
hair dyeing
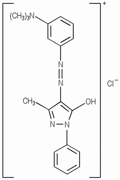
Basic Yellow 57
Ограничения
Annex III/262
Заключения SCCS
Встречается в продуктах (61 всего)
Leonor Greyl Soin Repigmentant - Icy Brown
Leonor Greyl
→
Milk shake Conditioning Direct Colour Golden Blonde
Milk shake
→
Milk shake Conditioning Direct Colour Grey
Milk shake
→
Milk shake Conditioning Direct Colour Copper
Milk shake
→
Moroccanoil Color Depositing Mask Hibiscus
Moroccanoil
→
BLEACH London Proper Copper Super Cool Colour Warm Auburn Semi-permanent Hair Colour Cream
BLEACH London
→
Revolution Haircare Tones For Blondes Sweet Peach
Revolution
→
Keracolor Color + Clenditioner Liter
Keracolor
→
dphue Gloss
dphue
→
Fudge Professional Paint Box Gold Coast
Fudge Professional
→
Madison Reed Dorato Color Therapy
Madison Reed
→
Balea Professional More Blond Shampoo
Balea
→