indecoder.RU
Нейтрально emulsifying surfactant

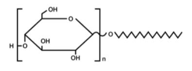
Arachidyl Glucoside

d-glucose, 1-eicosanol ether

Описание

An ingredient that is created from the attachment of the water-loving sugar molecule, glucose, and an oil-loving 20 carbon long fatty chain. This makes it a partly water- and partly oil-soluble material, meaning it functions as an emulsifier helping oil and water to mix.  

Most often, it comes to the formula coupled with two fatty alcohol friends, Arachidyl and Behenyl alcohol, to make up an emulsifier trio trade named Montanov 202. As described by its manufacturer, the main thing of Montanonv 202 is that it gives creams a unique evanescent and light feel with a matt finish. It also leaves the skin soft, but not oily, is hypoallergenic and non-comedogenic making it perfect for both oily and sensitive skin formulas. 

Встречается в продуктах (1 960 всего)

Loading…
Loading the web debug toolbar…
Attempt #