Тетрагидрокуркумин
(перенаправлено с «Tetrahydrocurcumin»)

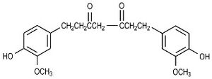
тетрагидрокуркумин - это органическое соединение, соответствующее формуле:
- Альтернативные названия: Tetrahydrocurcumin
- Основные функции: антиоксидант
- Химическое наименование: 1,7-Bis(4-Hydroxy-3-Methoxyphenyl)Heptane-3,5-Dione; 3,5-Heptamedopme; 1,7-Bis(Hydroxy-3Methoxyphenyl)Heptane; Tetrahydrocurcumin (Thc)
- Номер CAS[1]: 36062-04-1
- Номер EC[2]: 609-201-3
Примечания
- ↑ CAS-номер (Chemical Abstracts Service Number) — это уникальный числовой идентификатор, присваиваемый каждому химическому веществу, зарегистрированному в базе данных Chemical Abstracts Service (CAS). Этот номер используется для однозначной идентификации химических веществ в научной литературе и базах данных. CAS-номер состоит из трех частей, разделенных дефисами: первая часть может содержать до семи цифр, вторая — две цифры, а третья — одну цифру. CAS-номер широко используется в химической, фармацевтической и научной отраслях для точной идентификации веществ.
- ↑ EC-номер (European Community Number) — это уникальный идентификационный номер, присваиваемый химическим веществам в рамках Европейского Союза. Он используется для систематизации химических веществ и их компонентов в различных регистрах и базах данных, таких как Европейский регистр химических веществ (EINECS). EC-номер состоит из семи цифр, разделенных дефисами, например, 202-713-4, где первая цифра обозначает группу веществ, в которую входит данный химикат.