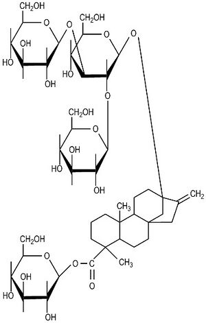
Ребаудиозид А
(перенаправлено с «Rebaudioside A»)

- Альтернативные названия: Rebaudioside A
- Прочие функции: кондиционирование кожи
- Химическое наименование: (4A)-13-[(2-O-Ss-D-Glucopyranosyl-3-O-Ss-DGlucopyranosyl-Ss-D-Glucopyranosyl)-Oxy]Kaur-6-En-8-Oic Acid Ss-DGlucopyranosyl Ester
- Номер CAS[1]: 58543-16-1
Примечания
- ↑ CAS-номер (Chemical Abstracts Service Number) — это уникальный числовой идентификатор, присваиваемый каждому химическому веществу, зарегистрированному в базе данных Chemical Abstracts Service (CAS). Этот номер используется для однозначной идентификации химических веществ в научной литературе и базах данных. CAS-номер состоит из трех частей, разделенных дефисами: первая часть может содержать до семи цифр, вторая — две цифры, а третья — одну цифру. CAS-номер широко используется в химической, фармацевтической и научной отраслях для точной идентификации веществ.